Hier kannst du unsere Satzung einsehen
Das Formular zum Beitritt kannst du bei einem persönlichen Gespräch erhalten.

Aktuelle Satzung Seite 1

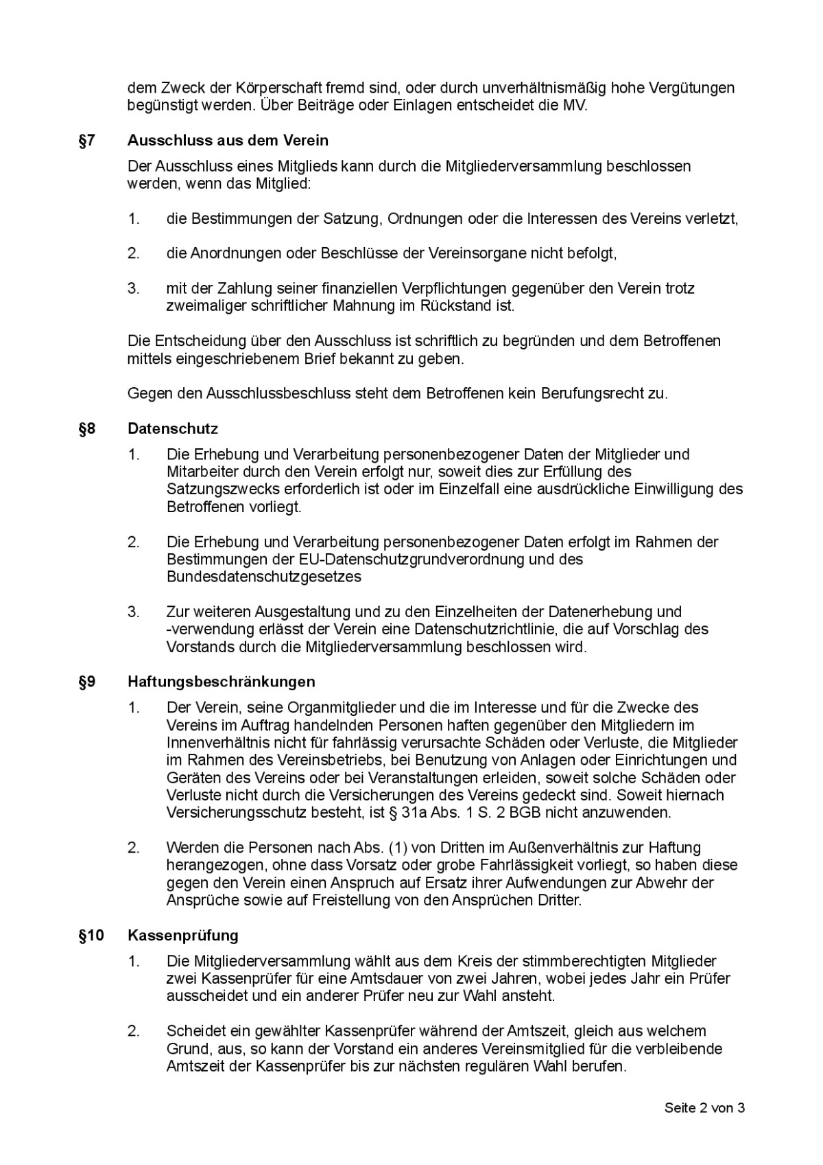
Aktuelle Satzung Seite 2

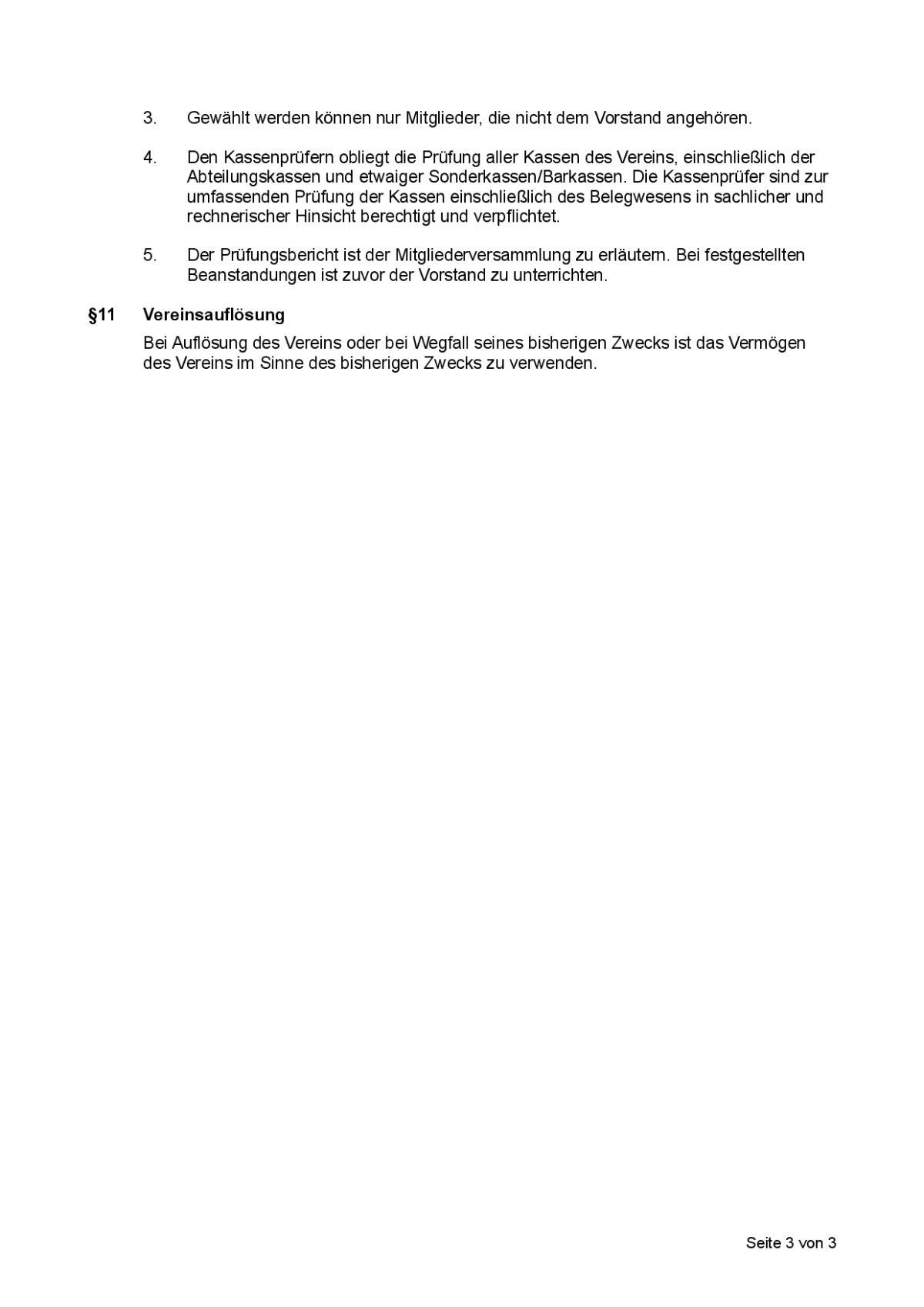
Aktuelle Satzung Seite 3

Aktuelle Beitragsordnung zur Satzung
Das Formular zum Beitritt kannst du bei einem persönlichen Gespräch erhalten.

Aktuelle Satzung Seite 1

Aktuelle Satzung Seite 2

Aktuelle Satzung Seite 3

Aktuelle Beitragsordnung zur Satzung